决策树是什么?
- 作者

- Name
- 青玉白露
- Github
- @white0dew
- Modified on
- Reading time
- 5 分钟
阅读:.. 评论:..
由于随机森林里有决策树相关的知识,因此先对决策树的知识进行学习
简介
简单点说就是,决策树是一种类似于流程图的结构,其中每个内部节点代表在某一个特征上的“判断”(例如,一个硬币是正面还是反面),每个分支代表判断的结果,每个叶节点代表一个类标签(计算所有属性后做出的决定)。从根到叶的路径表示分类规则。 为了进一步帮助大家了解决策树,我们用titanic数据来预测一个乘客是否能生存,我们选用具有三个特征的数据集, 即性别、年龄和sibsp(配偶或子女的数量)。决策树算法结构如下:
那么到底是如何决策的呢? 假设有一个乘客:jack,年龄5岁,男,无子女。根据决策树的脉络,最后的结果就是生还!决策树,就是一个显性构造决策逻辑过程
构造过程
决策树学习算法包含特征选择、决策树生成与决策树的剪枝。决策树的生成是局部最优,而决策树的剪枝则是全局最优。
构造决策树的过程用一句话来说就是,寻找当前数据集特征中,最重要的一个特征,而后根据这个特征将这个数据集分为两类,之后再在分类的数据集中继续寻找下一个重要特征,直到判断完所有的特征,也就获得了最终的决策树。
因此核心的问题就是,如何寻找最重要的特征? ——主要有两种,一个是基于信息熵增益的ID3决策树; ——另一个是基于基尼系数的CART决策树;
ID3
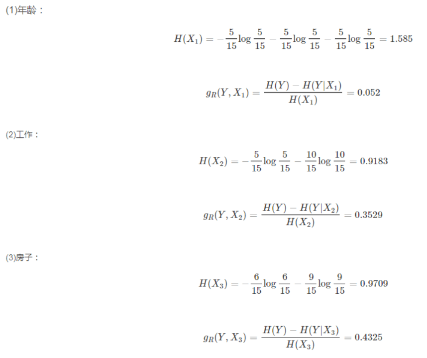
以下面这个数据集为例,年龄、工作情况、房子情况、信贷情况这四个特征,决定着某位客户最终能否成功贷款:
在进行下一步之前,先学一些概念:信息熵越大,表示某一个信息越复杂,越不确定;
ID3决策树,就是采用信息增益(知道这个信息,对于最后的判断有多大的作用)来确定最优特征的,计算过程如下:
从上可以看到,房子这一特征所提供的信息增益是最大的:因此决策树的第一层的判断特征就出来了——房子。按照这种方式,递归下去,直到找完最后的特征值之后(或者达到指定的决策树层数),决策树就成型了,比如二层决策树:C4.5
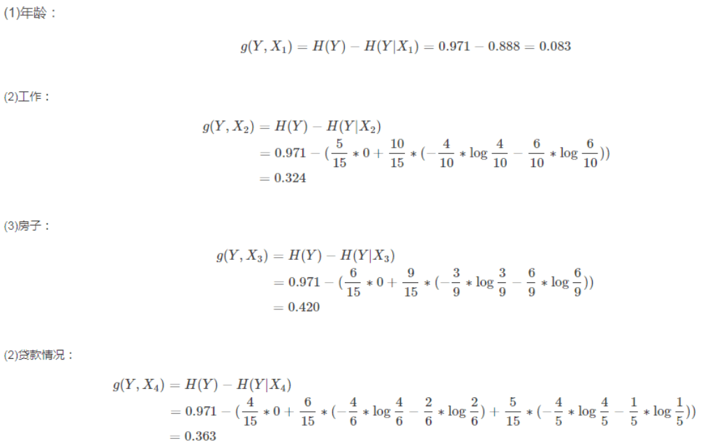
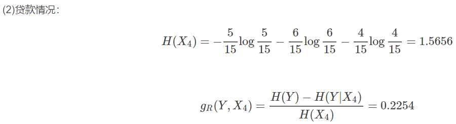
C4.5算法与ID3算法在整体流程上很相似,不同之处在于特征选择用的是信息增益比,然后最后有剪枝的过程。依据信息增益率,我们来计算上述例子:
最大的信息增益比还是房子因素。CART与剪枝
CART算法主要有两部分组成: (1) 决策树的生成:基于训练数据集生成决策树,生成的决策树要尽量大。这与ID3算法类似,不同之处也是特征选取的方式,选择的是最小基尼指数; (2) 决策树的剪枝:用验证数据集对已生成的树进行剪枝并选择最优子树,此时用损失函数最小作为剪枝的标准。 CART算法可以用于回归,即建立回归树。在终于分类时,其算法流程与ID3较为类似。
那么为什么需要剪枝呢? 策树生成算法是递归地生成决策树,知道不能继续下去。 这样产生的决策树往往分类精细,对训练数据集分类准确,但是对未知数据集却没有那么准确,有比较严重的过拟合问题。因此,为了简化模型的复杂度,使模型的泛化能力更强,需要对已生成的决策树进行剪枝,即减除掉细枝末节的特征判断。
如何进行剪枝?
如何理解上述公式? 后面的|T|其实就是于正则化惩罚。——即结构风险,削减参数数量,防止过拟合;
前面其实是经验风险。——**利用条件熵计算整个决策树的确定性,**一颗好的决策树,其确定性一定是极好的,其叶子节点理想情况下只有一类结果(因为完全确定了)。借用熵的概念,那么此时叶子节点的熵应该为-1*log1(只有一类结果,则概率为1),而一旦没有完全分类成功,则熵不为0。 考虑到不同的节点上,样本的数目不一样,才乘以了Nt来给每一个节点加上一个权重。 理想情况下的决策树如下:
而实际情况下,每一个叶子节点都会有多个输出类别。
代码实现/参考链接
https://blog.chttps://blog.csdn.net/zx10212029/article/details/49529843?utm_source=copysdn.net/qq_38923076/article/details/82930949 ID3决策树原理分析及python实现_id3伪代码-CSDN博客 决策树原理及Python代码实现-CSDN博客

